Ống nhựa Tiền Phong là thương hiệu ống nhựa số 1 tại Việt Nam. Trải qua hơn 60 năm hình thành và phát triển. Với khẩu hiệu Nhựa Tiền Phong luôn tiên phong, các sản phẩm chất liệu PVC, PPR, HDPE luôn được khách hàng ưa chuộng, tin dùng và đánh giá cao.
Mục Lục
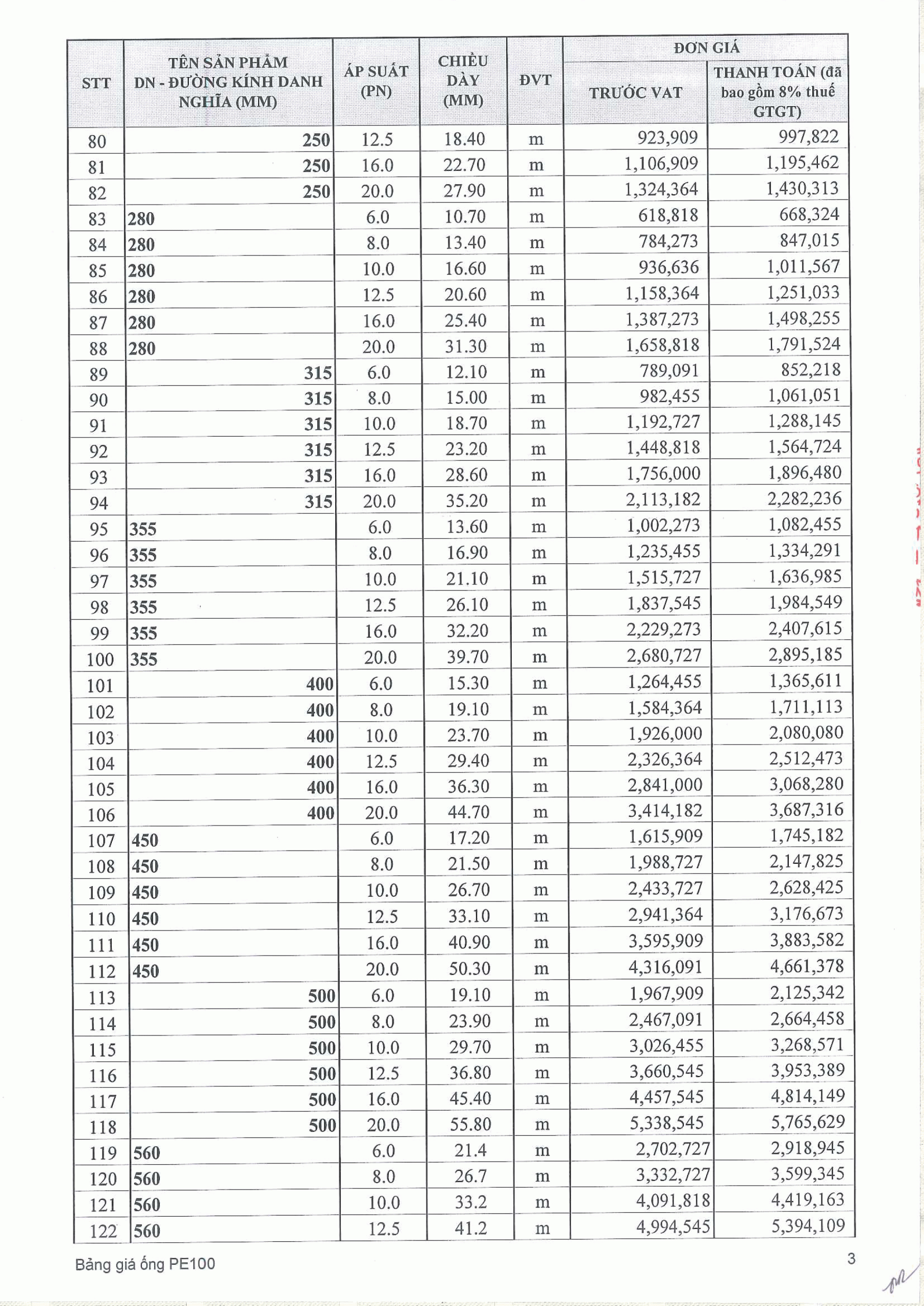
Bảng Báo Giá Ống Nhựa Tiền Phong
Bảng giá được cập nhật liên tục và mới nhất cho tới thời điểm hiện tại. Do Nhà sản xuất phát hành qua bộ Công Thương và được niêm yết công khai rộng rãi trên thị trường.
Bảng báo giá là căn cứ xác định giá mua bán của các sản phẩm mang thương hiệu nhựa tiền phong. Thực chất bảng giá niêm yết là bảng giá tham chiếu. Chưa có giảm trừ chiết khấu thương mại trên giá công bố trong bảng giá.
Để xác định được giá mua bán thực sự thì cần giảm trừ đi phần trăm nhất định trên bảng giá này. Thông thường gọi đơn giản là chiết khấu.
Tuy không thực sự là giá bán nhưng lại cực quan trọng. Bởi vì nếu không niêm yết công khai bảng giá có thể dẫn đến các trường hợp gian thương lợi dụng. Làm khống giá gây tổn thất cho cả người mua và người bán minh bạch.
Ống Nhựa Tiền Phong – Lưu Khi Tra Cứu Bảng Báo Giá
Ngoài bảng giá dưới đây, không còn bất kỳ văn bản nào quy định về giá được phát hành từ nhà máy nhựa thiếu niên tiền phong
- Bảng giá mới nhất phát hành ngày 01/07/20224
- Cần Phân biệt rõ đâu là bảng giá ống nhựa uPVC, PPR, HDPE
- Giá trên bảng giá là giá chưa chiết khấu
Bảng Giá Ống Nhựa u.PVC (Thường Gọi PVC)
Ống Nhựa u.PVC hay thường gọi ống PVC hay ống thoát nước.
Ống màu Xám Xanh, Dài 4 mét 1 cây.
Mỗi đường kính ống hoặc phụ tùng khác nhau có nhiều lựa chọn độ dày khác nhau





Tải về bảng giá đầy đủ ống PVC và phụ tùng nối ống PVC
Bảng Báo Giá Ống Nhựa PPR (Ống Hàn Nhiệt Nóng Lạnh)
Ống Nhựa PPR thường gọi là ống nóng lạnh, ống hàn nhiệt, hay ống cấp nước.
Ống Màu Ghi Trắng, Dài 4 mét 1 cây
Mỗi đường kính ống có 4 độ dày khác nhau.
Ống dùng cho đường nước lạnh có dòng kẻ xanh, ống dùng cho đường nước nóng có dòng kẻ đỏ
Riêng phụ tùng nối ống chỉ có 1 loại độ dày.




Tải về bảng báo giá đầy đủ ống và phụ tùng PPR tiền phong
Bảng Giá Ống HDPE (Ống Đen)
Ống HDPE còn gọi là ống nước sạch. Màu Đen.
Ống có đường kính từ 90 trở xuống ở dạng cuộn. Từ đường kính 110 trở lên là dạng cây: có thể là 6 mét, 9 mét




Tải về Bảng giá đầy đủ ống nhựa hdpe tiền phong
Ống Nhựa Tiền Phong – Giá Mua Bán Thực Tế
Bảng giá nhà máy niêm yết dùng là cơ sở tính giá mua bán thực tế.
Để xác định được giá bán thực tế cần thương lượng được tỷ lệ chiết khấu trên giá niêm yết.
Thông thường với các đại lý nhỏ tỷ lệ chiết khấu ống pvc từ 5 đến 10 hoặc 15%. Ống PPR thường 45 đến 50 hoặc 55%. Ống HDPE thường từ 10, 15% đến 20%.
Mua Ống Nhựa Tiền Phong – Hướng Dẫn Chi Tiết
Mua ống nhựa tiền phong không khó. Tuy nhiên để mua được đúng sản phẩm cần dùng thì không dễ. Ví dụ như khi nào mua ống pvc khi nào mua ống ppr khi nào mua ống hdpe, mua ống đường kính bao nhiêu? độ dày thành ống bao nhiêu mm? có những phụ tùng nối ống như thế nào?.. Đặc biệt làm sao để mua được với giá tốt nhất và các giấy tờ liên quan trực tiếp đến hàng như: hợp đồng mua bán, hoá đơn ống nhựa, chứng chỉ xuất xưởng… Dưới đây là hướng dẫn chi tiết
Khi Nào Dùng PVC PPR Hoặc HDPE?
Thực ra có nhiều hơn 3 sự lựa chọn cho chất liệu sản phẩm là pvc, ppr, hdpe. Tuy nhiên thông dụng và sử dụng nhiều nhất là pvc, ppr, hdpe.
Để dễ hình dung ta giả tưởng thiết kế một hệ thống cấp thoát nước sinh hoạt dân dụng như sau: Mặc định đường nước thành phố có tại cửa nhà (đường nước thành phố dùng ống hdpe). Đầu tiên dẫn nước vào nhà bằng kết nối với đường nước sạch. Vì đường nước sạch của mình luôn chứa nước bên trong (chịu áp lực) và không đóng cặn, kháng khuẩn càng tốt (nước sinh hoạt). Nhất là có dùng hệ thống bình nước nóng nên không thể dùng keo dán mà buộc phải hàn. Vậy kết luận đường nước chứa nước sinh hoạt chịu áp, chịu nhiệt thì phải dùng ống và phụ tùng ppr không thể dùng pvc được.
Đường nước sạch thành phố dùng hdpe. Vậy tại sao không dùng ống hdpe thay cho ống ppr. Lý do là vì thiết kế đường nước sinh hoạt thi công trong phạm vi diện tích nhất định trong khi ống hdpe cỡ nhỏ lại ở dạng cuộn lòng thòng, và nhất là phụ tùng nối ống hdpe to hơn ppr rất nhiều rất khó làm đẹp, thẩm mỹ.
Sau khi lấy nước vào bể ngầm bằng ống ppr, từ bể ngầm bơm lên bồn inox bằng máy bơm nối ống ppr (Tự động). Nước dẫn xuống các tầng dưới bằng ống ppr và hệ thống khoá nước (nước chứa trong ống), thiết bị. Khi sử dụng mở khoá nước. Tiếp theo phải thoát nước thải.
Đường thoát nước thường ít chứa nước (không chịu áp với đường ống thẳng đứng – chịu áp nhỏ với đường ống nằm ngang). Thường không nóng hoặc không quá nóng. Vậy đường thoát nước sẽ dùng ống và phụ tùng pvc.
Mua Ống Đường Kính Bao Nhiêu, Dày Bao Nhiêu?
Thông thường mỗi hệ thống cấp thoát nước đều được thiết kế với các tính toán sẵn về đường kính ống và áp suất chịu được của ống hoặc độ dày thành ống. Tuy nhiên một vài trường hợp phổ thông thì không nhất thiết phải đáp ứng quá nhiều yếu tố cùng lúc.
Ví dụ trong xây dựng nhà dân dụng thường chỉ cần dùng đến ống pn6 cho hệ thống thoát nước, pn10 cho nước lạnh, pn20 cho nước nóng… Ngoài ra trong PVC có phân loại class 1 2 3 là thường dùng nhất. Trong đó C2 được chọn dùng nhiều nhất bởi nó rẻ hơn c3 khoảng 20% đến 40%. Trong khi đắt hơn C1 khoảng 5 đến 10%. Về ppr thì đơn giản hơn khi tất cả phụ tùng nối ống đều dùng chung cho cả nóng và lạnh.
Chọn đường kính ống pvc. ống pvc 110 thoát nước thải sinh hoạt, Thải bệt trục chính. Ống 90 thoát nước thải trục phụ lỗ thoát sàn nhà tắm. Ống 75 dùng thay cho ống 90. Ống 60 thoát nước mái (ngoài nhà tuỳ ý). Ống 48 hoặc 42 thoát chậu rửa mặt, rửa bát. ống 34 27 21 thoát điều hoà. Có thể hạ cấp từ ống 110 xuống dùng ống 90 hoặc cũng có thể nâng từ 110 lên ống 125 (nếu nâng từ 110 lên 125 thoát rất ráo). Thoát ngang ra cống thành phố dùng ống 140 160 hoặc 200.
Chọn đường kính ống ppr. ống ppr 50 cấp tầng 5, ống 40 cấp tầng 4, 32 cấp tầng 3. 25 cấp tầng 2. 20 cấp tầng 1.. hạ dần đường kính ống trục để đảm bảo áp lực nước mạnh đều. có thể nâng cấp đường kính trục chính từ 50 lên 63 và các tầng khác nâng tương tự (nước sẽ dùng khá mạnh). Các phòng vệ sinh, thiết bị dùng ống 20, 25.
Phụ tùng nối ống gồm có: Nối thẳng. Nối vuông 90. Nối xiên 45. Nối thu. Ba chạc (chia 3), van, Nối ren trong, ren ngoài…
Mua Ống Nhựa Tiền Phong Giá Tốt Nhất – Quyền Lợi Tối Ưu
Ống Tiền Phong thì ở đâu cũng có. Nhất là các thành thị, muốn mua chỉ cần tới các điểm bán hàng có biển hiệu là mua được.
Công ty cổ phần Nhựa Quân Minh
Địa chỉ: Số 42 Dãy D11 Khu Đô Thị Geleximco – Lê Trọng Tấn – Hà Đông – Hà Nội
Email: nhuatienphongmienbac@gmail.com
Hotline Zalo: 0978884448 – 0934671962

